Module 2 - Midterm simulation test

This is the simulation of the second DS MidTerm exam provided in December 2025.

Please, refer to Prof. Alessandro Romanel for any questions/comments on the theoretical part.

Solutions for the practical part will be provided later today (or tomorrow).

Theoretical part

Exercise 1

Given a list 𝐿 of 𝑛≥3 integer elements, please compute the asymptotic computational complexity of the following function, explaining your reasoning.

[66]:
def my_fun(L):
    for i in range(3, len(L)):
        k = 0
        R = L[i]
        tmp = []
        while k < 3:
            if k % 2 == 1:
                R = R - L[k]
            else:
                R = R + L[k]
            k += 1
        tmp.append(R)

    return sum(tmp)

Exercise 2

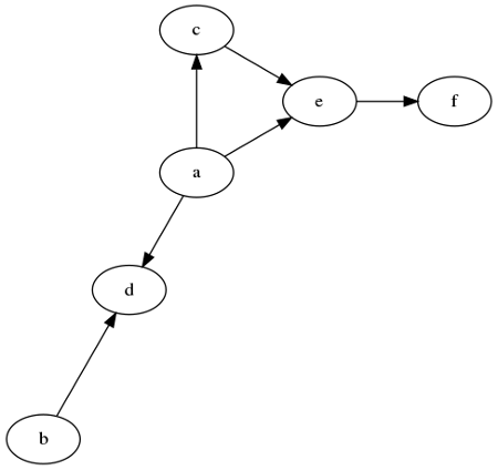
What is the topological sorting of a directed acyclic graph (DAG)? Briefly describe an algorithm to compute it and provide a possible topological view of the following DAG.

../_images/graph_1_sim.png

Practical part

Exercise 3

Bubble sort is a sorting algorithm that compares two adjacent elements and swaps them until they are in the intended order. Just like the movement of air bubbles in the water that rise up to the surface, the maximum element of the array moves to the end in each iteration. Therefore, it is called a bubble sort.

  1. The idea is to scan multiple times the list (from the start) and every time when you find two elements in the wrong order you swap them. If they are in the right order you do nothing.

  2. If at the end of a scan you did not swap any elements then your list is sorted

After the first scan the max is at the last position (green color), at the second scan the “second max” is at the second-last position and so on.

Below you can see and example of the bubble sort execution

../_images/bubb.png

Implement the bubble sort algorithm by filling the sort method below

Then, test it on a random array of 500 elements and check its correctness.

[ ]:
import random

class SortingAlgorithm:
    def __init__(self, data, verbose = True):
        self.data = data
        self.comparisons = 0
        self.operations = 0
        self.verbose = verbose

    def getData(self):
        return self.data

    def getOperations(self):
        return self.operations

    def getComparisons(self):
        return self.comparisons

    def sort(self):
        raise NotImplementedError

class BubbleSort(SortingAlgorithm):


    def sort(self):
        self.comparisons = 0
        self.operations = 0
        """
        to implement
        """


if __name__ == "__main__":

    d = [7, 5, 10, -11 ,3, -4, 99, 1]
    print("Before sorting:\n")
    print(d)
    bubSorter = BubbleSort(d, verbose = True)
    bubSorter.sort()
    print("After sorting:\n")
    print(d)


Before sorting:

[7, 5, 10, -11, 3, -4, 99, 1]
After sorting:

[7, 5, 10, -11, 3, -4, 99, 1]

Exercise 4

A Binary Search Tree (BST) is a binary tree with the following properties:

  • The left subtree of a node contains only nodes with values lower than that of the node.

  • The right subtree of a node contains only nodes with values greater than the node’s.

  • No duplicate nodes are allowed.

Look at the BST implemented in the code chunck below. From the input list, the function createBST() generates a BST.
Please check carefully how the class is implemented since it might slightly differ from the one you have seen during the practical class.
The BST structure created by the script is shown below:
../_images/BST_extraEx.png

TO DO

Implement the search_interval(self, a, b) method for the provided BinarySearchTree class.
This function takes the root node of a BST and two integers a and b (where a ≤ b), then returns a sorted list containing all values (nodes) in the tree that fall between a and b (inclusive).
Example:

BST.search_interval(3,10) will return [3, 5, 9]

BST.search_interval(18,26) will return [19, 21, 25]

HINTS

  • You can both use a recursive or iterative solutions

  • If you choose the iterative one, consider to use a stack to visit nodes (i.e. save the one to visit, similar to a iterative pre-order DFS).

    • For each node, check if the node’s value falls within the interval [a, b].

    • If so, the value is added to the result list.

    • The traversal continues to the left child if the current value is greater than a, and to the right child if the value is less than b.

    • The result list is sorted before being returned to ensure ascending order.

[1]:
class BinarySearchTree:
    def __init__(self, value):
        self.__data = value
        self.__right = None
        self.__left = None
        self.__parent = None

    def getValue(self):
        return self.__data
    def setValue(self, newValue):
        self.__data = newValue

    def getParent(self):
        return self.__parent
    def setParent(self, tree):
        self.__parent = tree

    def getRight(self):
        return self.__right
    def getLeft(self):
        return self.__left

    def insertRight(self, tree):
        if self.__right == None:
            self.__right = tree
            tree.setParent(self)
    def insertLeft(self, tree):
        if self.__left == None:
            self.__left = tree
            tree.setParent(self)

    # START CODING BELOW HERE:
    def search_interval(self, a, b):
        result = []
        # to implement
        raise NotImplementedError


def createBST(intList):

    BST = None
    if len(intList) > 0:
        BST = BinarySearchTree(intList[0])
        for el in intList[1:]:
            cur_el = BST
            alreadyPresent = False
            prev_el = None
            while cur_el != None:
                prev_el = cur_el
                cv = cur_el.getValue()
                if  cv > el:
                    cur_el = cur_el.getLeft()
                elif cv < el:
                    cur_el = cur_el.getRight()
                else:
                    alreadyPresent = True
                    break

            if not alreadyPresent:
                node = BinarySearchTree(el)
                node.setParent(prev_el)
                if prev_el.getValue() > el:
                    prev_el.insertLeft(node)
                else:
                    prev_el.insertRight(node)

    return BST


def printTree(root):
    cur = root
    nodes = [(cur,0)]
    tabs = ""
    lev = 0
    while len(nodes) >0:
        cur, lev = nodes.pop(-1)
        if cur.getRight() != None:
            print ("{}{} (r)-> {}".format("\t"*lev,
                                          cur.getValue(),
                                          cur.getRight().getValue()))
            nodes.append((cur.getRight(), lev+1))
        if cur.getLeft() != None:
            print ("{}{} (l)-> {}".format("\t"*lev,
                                          cur.getValue(),
                                          cur.getLeft().getValue()))
            nodes.append((cur.getLeft(), lev+1))



# DO NOT modify code below:

if __name__ == "__main__":

    inList = [5,2,1,3,12,9,21,19,25]

    BST = createBST(inList)

    print("Tree:\n")
    printTree(BST)

    res = BST.search_interval(3,10)
    print("\nValues in interval [3,10]: {}".format(res))
    assert res == [3,5,9], "Test failed!"

    res2 = BST.search_interval(18,26)
    print("\nValues in interval [18,26]: {}".format(res2))
    assert res2 == [19,21,25], "Test failed!"



Tree:

5 (r)-> 12
5 (l)-> 2
        2 (r)-> 3
        2 (l)-> 1
        12 (r)-> 21
        12 (l)-> 9
                21 (r)-> 25
                21 (l)-> 19
---------------------------------------------------------------------------
NotImplementedError                       Traceback (most recent call last)
Cell In[1], line 101
     98 print("Tree:\n")
     99 printTree(BST)
--> 101 res = BST.search_interval(3,10)
    102 print("\nValues in interval [3,10]: {}".format(res))
    103 assert res == [3,5,9], "Test failed!"

Cell In[1], line 36, in BinarySearchTree.search_interval(self, a, b)
     34 result = []
     35 # to implement
---> 36 raise NotImplementedError

NotImplementedError: