Module 2, Extra exercises

Find below random exercises to practice more with the sorting and the data structures we have seen during the practical lessons. Solutions will be provided in a few days.

Class Definitions (BinaryTree and DiGraphLL)

These classes are provided for the exercises.

[3]:
# BinaryTree class
class BinaryTree:
    def __init__(self, value):
        self.__data = value
        self.__right = None
        self.__left = None
        self.__parent = None

    def getValue(self):
        return self.__data
    def setValue(self, newValue):
        self.__data = newValue

    def getParent(self):
        return self.__parent
    def setParent(self, tree):
        self.__parent = tree

    def getRight(self):
        return self.__right
    def getLeft(self):
        return self.__left

    def insertRight(self, tree):
        if self.__right == None:
            self.__right = tree
            tree.setParent(self)

    def insertLeft(self, tree):
        if self.__left == None:
            self.__left = tree
            tree.setParent(self)

    def deleteRight(self):
        self.__right = None

    def deleteLeft(self):
        self.__left = None

def printTree(root):
    cur = root
    #each element is a node and a depth
    #depth is used to format prints (with tabs)
    nodes = [(cur,0)]
    tabs = ""
    lev = 0
    while len(nodes) >0:
        cur, lev = nodes.pop(-1)
        #print("{}{}".format("\t"*lev, cur.getValue()))
        if cur.getRight() != None:
            print ("{}{} (r)-> {}".format("\t"*lev,
                                          cur.getValue(),
                                          cur.getRight().getValue()))
            nodes.append((cur.getRight(), lev+1))
        if cur.getLeft() != None:
            print ("{}{} (l)-> {}".format("\t"*lev,
                                          cur.getValue(),
                                          cur.getLeft().getValue()))
            nodes.append((cur.getLeft(), lev+1))

[9]:
# Directed graph class
class DiGraphLL:
    def __init__(self):
        self.nodes = dict()

    def insertNode(self, node):
        test = self.nodes.get(node, None)

        if test == None:
            self.nodes[node] = {}

    def insertEdge(self, node1, node2, weight):
        test = self.nodes.get(node1, None)
        test1 = self.nodes.get(node2, None)
        if test != None and test1 != None:
            test = self.nodes[node1].get(node2, None)
            if test != None:
                exStr= "Edge {} --> {} already existing.".format(node1,node2)
                raise Exception(exStr)
            else:
                self.nodes[node1][node2] = weight


    def __len__(self):
        return len(self.nodes)

    def nodes(self):
        return list(self.nodes.keys())

    def graph(self):
        return self.nodes

    def __str__(self):
        ret = ""
        for n in self.nodes:
            for edge in self.nodes[n]:

                ret += "{} -- {} --> {}\n".format(str(n),
                                                  str(self.nodes[n][edge]),
                                                  str(edge))
        return ret

Exercise 1 — Count the Number of Nodes in a Tree

The goal of this exercise is to understand how to traverse a binary tree both recursively and iteratively. You are asked to implement a method in the BinaryTree class that returns the total number of nodes in the subtree rooted at the current node using recursion. Then, implement a second version that computes the same value without using recursion, relying instead on an explicit stack or queue. Both methods should return the same result when tested.

Implement recursive and iterative versions:

def countNodes(self):
    pass

def countNodes_iter(self):
    pass

Test if you implemented it right with the code below:

[ ]:
# Autograding test for Exercise 1
root = BinaryTree(0)
a = BinaryTree(1); b = BinaryTree(2)
root.insertLeft(a); root.insertRight(b)

try:
    assert root.countNodes() == 3
    assert root.countNodes_iter() == 3
    print('Exercise 1 passed')
except Exception as e:
    print('Exercise 1 failed:', e)

Exercise 2 — Check Whether a Value Exists in the Tree

This exercise focuses on searching within a binary tree. You should implement a method that returns True if a given value exists anywhere in the tree, using recursion to traverse the nodes. Then, create a second version that performs the same search without recursion, using an explicit stack or queue to explore the tree. Both versions should correctly identify whether the value is present, even if every node needs to be checked.

def contains(self, value):
    pass

def contains_iter(self, value):
    pass

Test the output with the code below:

[ ]:
root = BinaryTree(1)
a = BinaryTree(2)
b = BinaryTree(3)
root.insertLeft(a)
root.insertRight(b)

print(root.contains(2))       # Expected output: True
print(root.contains_iter(5))  # Expected output: False

Exercise 3 — Compute the Height of the Tree

Compute the height of a binary tree where a leaf node has height one and an empty subtree has height zero. Implement a recursive method that calculates the height and an iterative method using a stack or queue to track node depth. Both methods should return the same height.

Example: A tree with a root node and two children has height 2. Calling the method on the root node should return 2.

Template for your code:

def height(self):
    pass

def height_iter(self):
    pass

Example check:

[ ]:
root = BinaryTree(0)
a = BinaryTree(1)
b = BinaryTree(2)
root.insertLeft(a)
root.insertRight(b)

print(root.height())       # Expected output: 2
print(root.height_iter())  # Expected output: 2

Exercise 4.1 — Check if a node has a self edge in a Graph

Consider the DiGraphLL class provided above. Use this code below to generate the following graph:

../_images/grahpEx.png

Code:

[10]:
G = DiGraphLL()
for i in range(7):
    n = "Node_{}".format(i+1)
    G.insertNode(n)

G.insertEdge("Node_2", "Node_1", 7)
G.insertEdge("Node_1", "Node_2", 2)
G.insertEdge("Node_1", "Node_4", 5)
G.insertEdge("Node_2", "Node_5", 6)
G.insertEdge("Node_6", "Node_5", 3)
G.insertEdge("Node_4", "Node_5", 15)
G.insertEdge("Node_6", "Node_6", 2)
G.insertEdge("Node_7", "Node_7", 4)
G.insertEdge("Node_4", "Node_4", 4)

print("Size is: {}".format(len(G)))
print("Nodes: {}".format(G.nodes))
Size is: 7
Nodes: {'Node_1': {'Node_2': 2, 'Node_4': 5}, 'Node_2': {'Node_1': 7, 'Node_5': 6}, 'Node_3': {}, 'Node_4': {'Node_5': 15, 'Node_4': 4}, 'Node_5': {}, 'Node_6': {'Node_5': 3, 'Node_6': 2}, 'Node_7': {'Node_7': 4}}

Implement a method called checkSelfEdge() in the DiGraphLL class that takes a node as input and returns True if the node has an edge pointing to itself, and False otherwise. Make sure to first verify that the node exists in the graph.

Hint: Use the adjacency dictionary to determine if the node has an outgoing edge to itself.

def checkSelfEdge(self, node):
    pass
[ ]:

print("Check for self edge --> \n") print("Node_10:") print(G.checkSelfEdge("Node_10")) #should return "node not found" print("Node_2:") print(G.checkSelfEdge("Node_2")) #should return False print("Node_6:") print(G.checkSelfEdge("Node_6")) #should return True print("Node_7:") print(G.checkSelfEdge("Node_7")) #should return True

Exercise 4.2 — Check if a node is isolated (no edges with other nodes)

Implement a method called isolatedNodes() in the DiGraphLL class that returns a list of all nodes that are completely isolated from the graph. A node is considered isolated if it has no incoming or outgoing edges to other nodes. Self-loops (edges from the node to itself) should not count as connections: nodes with self-loops are still considered isolated.

def isolatedNodes(self):
    pass

Test with:

[ ]:
print("Isolated nodes:\n")
print(G.isolatedNodes())

assert(G.isolatedNodes() == ['Node_3', 'Node_7'])

Exercise 5

A Binary Search Tree (BST) is a binary tree with the following properties: - The left subtree of a node contains only nodes with values lower than that of the node. - The right subtree of a node contains only nodes with values greater than the node’s. - No duplicate nodes are allowed.

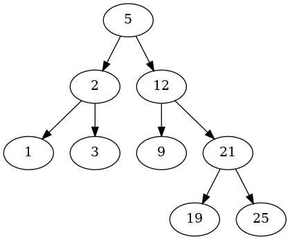
Look at the BST implemented in the code chunck below. Please check carefully how the class is implemented since it might slightly differ from the one you have seen during the practical class. The BST structure created by the script is shown below:

../_images/BST_extraEx.png

TO DO: We have the BST shown above and a number N. Our task is to find the greatest number (node) in the binary search tree that is less than or equal to N. You are asked to implement the missing method findLargestSmallerKey(self, N)

This method finds the largest key (value of node, as integer) in the BST that is smaller than N. If such a number doesn’t exist, return -1.

Examples: Input : N = 24
Output : 21
(searching for 24 will be like 5->12->21)
Input : N = 4
Output : 3
(searching for 4 will be like 5->2->3)
Input : N = 10
Output : 9
(searching for 10 will be like 5->12->9)

TIPS: There are two key parts for the algorithm.

Part 1: traversing the tree
Starting from the root, for each node we choose its left or its right child as the next step, based on a comparison between that node’s key and N: If the current node holds a key smaller than N, we proceed to its right subtree looking for larger keys. Otherwise, we proceed to its left subtree looking for smaller keys.
Part 2: finding the key
During this iteration, when the current key is smaller than N, we store it as our result and keep looking for a larger key that is still smaller than N.
[ ]:
class BinarySearchTree:
    def __init__(self, value):
        self.__data = value
        self.__right = None
        self.__left = None
        self.__parent = None

    def getValue(self):
        return self.__data
    def setValue(self, newValue):
        self.__data = newValue

    def getParent(self):
        return self.__parent
    def setParent(self, tree):
        self.__parent = tree

    def getRight(self):
        return self.__right
    def getLeft(self):
        return self.__left

    def insertRight(self, tree):
        if self.__right == None:
            self.__right = tree
            tree.setParent(self)
    def insertLeft(self, tree):
        if self.__left == None:
            self.__left = tree
            tree.setParent(self)

    # START CODING BELOW HERE:

    def findLargestSmallerKey(self, N):

        result = -1

        #to implement


        return result



def createBST(intList):

    BST = None
    if len(intList) > 0:
        BST = BinarySearchTree(intList[0])
        for el in intList[1:]:
            cur_el = BST
            alreadyPresent = False
            prev_el = None
            while cur_el != None:
                prev_el = cur_el
                cv = cur_el.getValue()
                if  cv > el:
                    cur_el = cur_el.getLeft()
                elif cv < el:
                    cur_el = cur_el.getRight()
                else:
                    alreadyPresent = True
                    break

            if not alreadyPresent:
                node = BinarySearchTree(el)
                node.setParent(prev_el)
                if prev_el.getValue() > el:
                    prev_el.insertLeft(node)
                else:
                    prev_el.insertRight(node)

    return BST


def printTree(root):
    cur = root
    nodes = [(cur,0)]
    tabs = ""
    lev = 0
    while len(nodes) >0:
        cur, lev = nodes.pop(-1)
        if cur.getRight() != None:
            print ("{}{} (r)-> {}".format("\t"*lev,
                                          cur.getValue(),
                                          cur.getRight().getValue()))
            nodes.append((cur.getRight(), lev+1))
        if cur.getLeft() != None:
            print ("{}{} (l)-> {}".format("\t"*lev,
                                          cur.getValue(),
                                          cur.getLeft().getValue()))
            nodes.append((cur.getLeft(), lev+1))



# DO NOT modify code below:

if __name__ == "__main__":

    inList = [5,2,1,3,12,9,21,19,25]

    BST = createBST(inList)

    print("Tree:\n")
    printTree(BST)


    print("\nGreatest number in the BST that is less than or equal to 24 --> \n")

    print(BST.findLargestSmallerKey(24))

    print("\nGreatest number in the BST that is less than or equal to 4 --> \n")

    print(BST.findLargestSmallerKey(4))


    print("\nGreatest number in the BST that is less than or equal to 10 --> \n")

    print(BST.findLargestSmallerKey(10))

    assert BST.findLargestSmallerKey(24) == 21 , "It should be 21"

    assert BST.findLargestSmallerKey(4) == 3, "It should be 3"

    assert BST.findLargestSmallerKey( 10) == 9, "It should be 9"

Excerise 6

Implement the sort() method of the class PancakeSort in the code below.

To test the implementation use the code below, which is equipped with a main code that tests the method by sorting the list [7, 5, 10, -11, 3, -4, 99, 1].

Imagine you have a stack (not the stack data structure) of pancakes of different sizes, and you want to arrange them in order from the largest at the bottom to the smallest at the top.
Here’s how Pancake Sort works: Start with your stack of unsorted pancakes. The stack represents the list of numbers that you want to sort (it is not an actual stack data structure).
  1. Iterate over the stack of pancakes (list of numbers) starting from the bottom pancake (end of the list) and going towards the top (first pancake). This because at the end of each iteration the biggest pancake (number) will be moved to the bottom of the stack (last position in the list), and we want to reduce the size of the list we work with at each iteration.

  2. At each iteration, identify the biggest pancake (number) and get its position X.

  3. If the biggest pancake is not already at the top, flip the unsorted stack to move it there (in the first position of the list). This means that you must flip the sub-list that goes from 0 to position X.

  4. Now, flip the entire stack (list) so that the biggest pancake is now at the bottom (end of the list).

  5. Repeat the process (step 1 to 3), focusing on a smaller stack each time (excluding the pancake you’ve already sorted, which is now at the end).

  6. Continue until all pancakes are in order (i.e. when you reach the first position in the list)

Keep in mind that with flip we mean to reverse the order of the elements in the list (or sub-list). Below there is an example of how the sorting works:

../_images/pancackeSorting.png
[ ]:
class SortingAlgorithm:
    def __init__(self, data, verbose = True):
        self.data = data
        self.comparisons = 0
        self.operations = 0
        self.verbose = verbose

    def getData(self):
        return self.data

    def getOperations(self):
        return self.operations

    def getComparisons(self):
        return self.comparisons

    def sort(self):
        raise NotImplementedError

class PancakeSort(SortingAlgorithm):

    def sort(self):

        """
        Implement the sort method for the Pancake Sort algorithm
        """

        raise NotImplementedError #remove when implementing method


if __name__ == "__main__":

    d = [7, 5, 10, -11 ,3, -4, 99, 1]
    print(d)
    insSorter = PancakeSort(d)
    insSorter.sort()
    print(d)